Вязаный жакет с бахромой и фантазийными узорами

Стильный жакет спицами для женщин, выполненный из пряжи на основе шерсти красивого нежно-розового цвета.
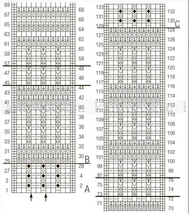
Вязание деталей рукавов, полочек и спинки, а также планок полочек выполняется по приведенной в описании схеме.
Данная схема разбита на три секции, каждая из которых вяжется определенным узором.
Описание жакета дано для двух размеров.
Размеры
36 – 40 (42 – 46)
Материалы
Пряжа Lana Grossa Arioso (48% мерино, 30% альпака, 22% полиамид, 50 г/240 м) 5-6 мотков, спицы круговые 6 мм, крючок 5 мм
Плотность вязания
14 петель и 27.5 рядов = 10х10 см узором по схеме
Описание вязания жакета спицами для женщин
Вязание по схеме:
Начать узор с петель перед первой стрелкой, повторять 3 петли между стрелками - раппорт узора, закончить ряд петлями после 2-гой стрелки. Провязать 1-4 ряды секции А 1 раз, потом ряды 3 и 4 секции А 11 раз = 26 рядов, потом выполнить 27 и 28 ряды. Далее вязать секцию В 29-48 ряды один раз, потом продолжить 57-76 ряды секции В, потом 5 раз выполнить 73-76 ряды секции В, потом 97-128 ряды. Продолжить рядами секции С, провязав 129-133 ряды, потом повторять 130-133 ряды до конца работы.
Спинка
Набрать 85 (91) п. и вязать по схеме узора, начав с изн.р. Через 59 (60) см от наборного края для плечевых скосов закрыть 9 (8) п. в начале след. 2-х рядов, потом 6 (7) п. в начале след. 8-ми рядов. Закрыть оставш. 19 п. выреза горловины.
Левая полочка
Набрать 34 (37) п. и вязать узором как для спинки и через 59 (60) см для плечевого скоса с правой стороны закрыть: 9 (8) п. в начале след. лиц.р., потом 6 (7) п. в начале след. 3-х лиц.р. и 7 (8) п. в начале след. лиц.р.
Правую полочку жакета связать симметрично левой полочке.
Рукава
Набрать 55 (58) п. и, начиная с изн.р., вязать по схеме узора след. образом: 3 и 4 ряды схемы А 5 раз, потом 27 и 28 ряды, далее 29-40 ряды секции В, 61-108 ряды секции В, 73-76 ряды 3 раза. Свободно закрыть все петли.
Сборка
Выполнить плечевые швы. Для планок полочек переда набрать 16 петель и вязать по схеме секции А 67 (68) см. Закрыть эти петли. Пришить планки к полочкам и по краю выреза горловины спинки, при этом обе планки сшить между собой в центре спинки. Вшить рукава. Отступить от нижнего края 38 см вверх и выполнить боковые швы и швы рукавов.
Для бахромы нарезать пряжу длиной по 25 см, для одной бахромы сложить вместе 2 нити и пополам, и закрепить ее по краю жакета. Расстояние между бахромой должно быть около 2 см.
